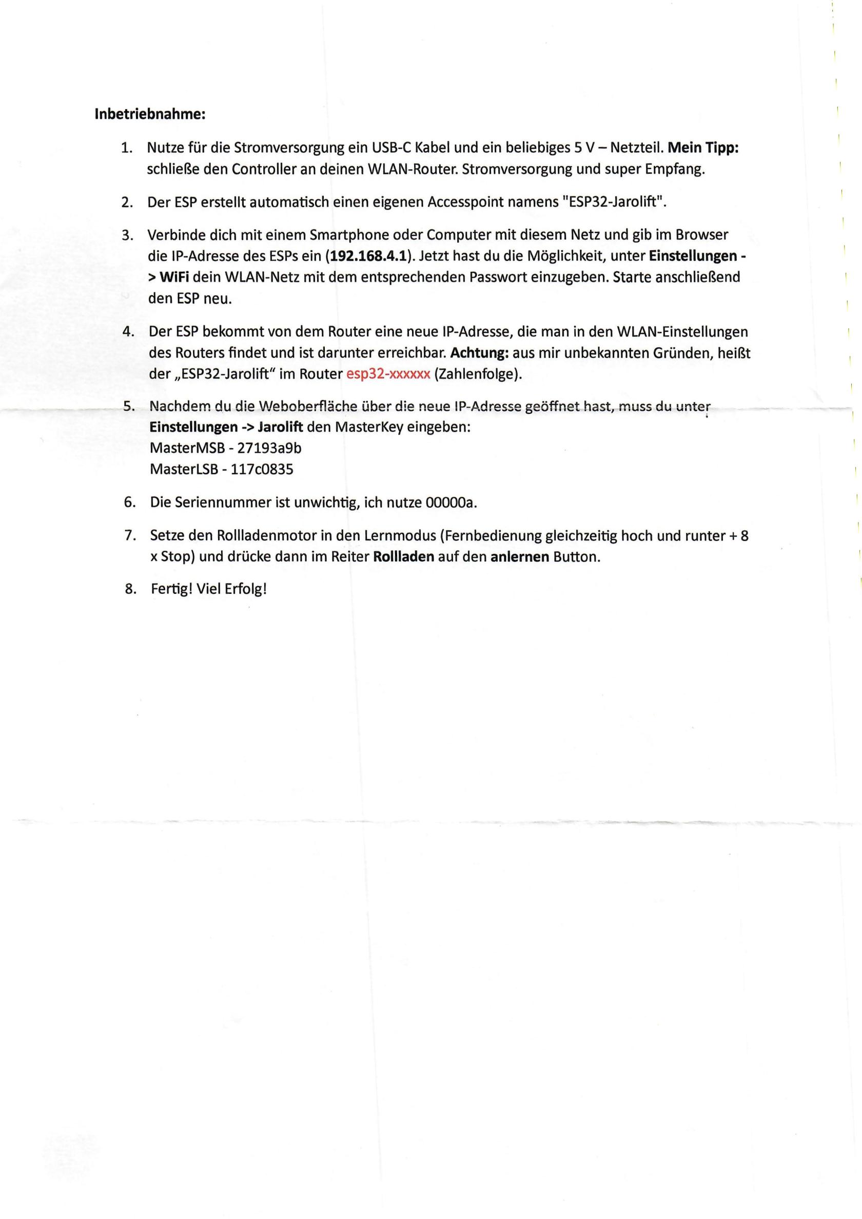
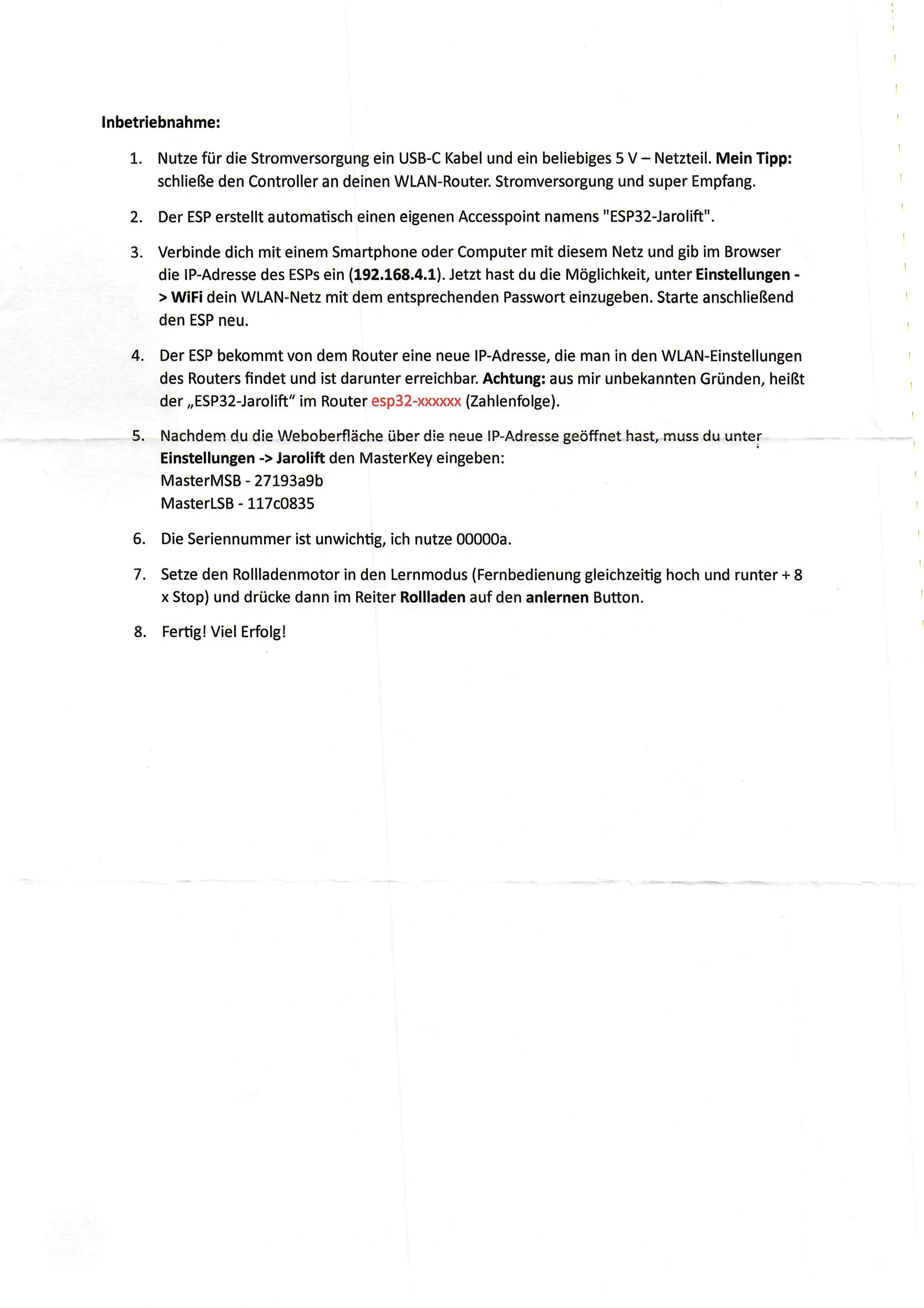
Skip to main content
BookStack
View All
Search
Shelves
Books
Log in
Info
Content
Books
Schritt-für-Schritt-An...
ESP32-Jarolift ( Rolll...
ESP32-Jarolift ( Rollladen-Server )
Enter section select mode
Previous
PatchMon - Linux Patch Monitoring made Simple
Next
QNAP-NAS als Backup-Storage in Proxmox-Backup...
No Comments
Back to top
No Comments